Mencari persamaan garis linear,titik potong dua garis.
Jika diketahui gradien,dua titik serta persamaan linear
soal 1
Buatlah persamaan garis jika titik D (3,4) dan E (2,5)
Buatlah persamaan garis jika titik D (3,4) dan E (2,5)
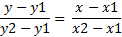
Penyelesaian : Rumus yang digunakan yaitu :
diketahui y1= 4,y2 = 5 & x1=3, x2=2
masukan kedalam rumus :









Jadi persamaan yang garis pada titik D dan E yaitu jika x mempunyai nilai 0-10 maka y mempunyai hasil adalah seperti terlihat pada gambar dibawah ini
Jika diketahui P (7,5) dengan gradient=3
Buatlah persamaan linear garisnya ?
Penyelesaiannya ;
Dengan menggunakan
rumus:




jika x mempunyai nilai 0-10 maka nilai y adalah seperti berikut yang terlihat pada gambar dibawah ini

soal 3
Carilah titik potong kedua persamaan berikut ;
2y + 4x = 0
-y + 3x = 2
Penyelesaian :
2y + 4x = 0 ………………………………….x 3
-y + 3x = 2 ………………………………… x4 -
Maka akan menjadi,
6y + 12x = 0
-4y + 12x = 8 -
10y = -8
Y = -8/10
Y= - 0,8
Jika y=0,8
Maka x adalah…
2y + 4x = 0
2( - 0,8) + 4x = 0
4x = 1,6
X= -1,6/4
X= 0,4
Maka titik potong kedua persamaan tersebut ada (0,4 , -08)









Tidak ada komentar:
Posting Komentar